原创_考勤问题_人力资产
学习.交流
专业源于专注
www. onlyit. cn   
学习交流 文件下载 手册资料 交流QQ群

    

 8  1/1   1  
作者
内容
kscjr  [个人空间]


注册  2009-06-04
发贴数  9
精华数  0
原创贴  0
来自  
状态  正常

级别  会员
#1»发布于2009-06-04 08:42

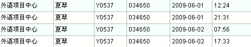
明明有刷卡数据,但是为什么不显示捏?

考勤台帐
刷卡数据

        


kscjr  [个人空间]


注册  2009-06-04
发贴数  9
精华数  0
原创贴  0
来自  
状态  正常

级别  会员
#2»发布于2009-06-04 09:18

班次定义发大水大法师的阿斯蒂芬阿斯蒂芬阿斯蒂芬

班次

        


三生石  [个人空间]
QQ名  Meng


注册  2005-09-20
发贴数  7381
精华贴  14
原创贴  6
来自  杭州
状态  正常

级别  版主
#3»发布于2009-06-04 09:24

提前和延后不合理, 比如30 60左右,这个是以分钟为单位的


        




 三生石上旧精魂 赏月吟风莫要论 惭愧情人远相访 此身虽异性长存 

kscjr  [个人空间]


注册  2009-06-04
发贴数  9
精华数  0
原创贴  0
来自  
状态  正常

级别  会员
#4»发布于2009-06-04 09:54

应该不是这个问题,因为有200多人,那为什么其他人没有问题?

正常的

        于 2009-06-04 09:54 被 kscjr 修改


三生石  [个人空间]
QQ名  Meng


注册  2005-09-20
发贴数  7381
精华贴  14
原创贴  6
来自  杭州
状态  正常

级别  版主
#5»发布于2009-06-04 10:17

 
你刚不说好了吗?






 三生石上旧精魂 赏月吟风莫要论 惭愧情人远相访 此身虽异性长存 

kscjr  [个人空间]


注册  2009-06-04
发贴数  9
精华数  0
原创贴  0
来自  
状态  正常

级别  会员
#6»发布于2009-06-04 10:26

没有啊,我什么时候说的,今天导入3号的数据,又有几个出现了类似问题,并且人员跟昨天的还不同的。




kscjr  [个人空间]


注册  2009-06-04
发贴数  9
精华数  0
原创贴  0
来自  
状态  正常

级别  会员
#7»发布于2009-06-04 11:50

问题解决了,谢谢软件开发者。你们辛苦了!




bobo1837  [个人空间]


注册  2009-06-24
发贴数  1
精华数  0
原创贴  0
来自  
状态  正常

级别  会员
#8»发布于2009-06-27 19:50

倒是说说怎么解决的嘛??





 8  1/1   1  

登录后方可发贴


[ 电话: 0571-85462761 王先生 QQ: 124520435 加入软件QQ群 - 杭州 - 浙ICP备19051128号-1 网安 33010402003225 ]